여러분 안녕하세요~
오늘은 S&P 500 에 이어
나스닥과 다우 지수 관련해서 이야기 해볼까 합니다
많은 분들이 나스닥과 배당에 관심이 많을실거라 생각되는데요
오늘도 최대한 열심히 적어보겠습니다~

미국 시장의 주요 지수들
앞에서 제가 시장 평균으로 S&P 500 을 추종하는
VOO에 대해서 이야기를 했었는데요
그 외에도 미국에는 다른 시장 지수들이 있답니다
기술주와 성장주 위주로 구성된 나스닥 이라던가
대형 우량 기업으로 구성되어 있는 다우 라던가
소형주를 대표하는 러셀 2000 등
다양한 지수들이 있습니다
그 중에서도 먼저 나스닥에 대해 살펴보겠습니다
나스닥(NASDAQ) 과 QQQ
나스닥 종합지수는
나스닥에 상장된 모든 주식으로 구성되어있으며
3000 여개 이상의 종목을 포함합니다
기술주와 성장주 위주로 구성되어 있다는 게 특징입니다
그 중에서도 QQQ는
나스닥에 상장된 기업 중 시가총액이 가장 큰
100개의 기업을 추종하는 ETF 입니다
애플, 마이크로소프트, 아마존, 구글 등
기술 혁신을 주도하는 세계적인 기술 대기업들을 포함하기에
기술 산업의 성장에 참여하고 싶은 투자자들이 찾는 종목입니다
QQQ의 장단점
역사적으로 QQQ는 기술 기업의 빠른 성장 덕분에 높은 수익을 거뒀으며
연간 0.20%의 상대적으로 저렴한 운용 보수로 제공되는 ETF 이기에
많은 투자자분들이 장기투자로 들고있는 종목입니다
하지만 좋은 점만 있는 것은 아닙니다
QQQ는 기술주에 매우 집중되어 있기에
기술 섹터의 높은 변동성에 노출되어있으며
애플, 마이크로소프트 같은 상위 보유 종목의 실적에 크게 의존하기에
이러한 기업들의 성장이 저조할 경우 성과가 부진할 수 있습니다
또한 성장주 위주로 구성되어있기에
배당금 지급이 상대적으로 낮습니다
따라서 은퇴를 앞둔 투자자나
안정적인 현금흐름을 원하는 투자자에게는
적합하지 않을 수 있습니다
QQQ 투자할 때 고려할 요소
AI나 반도체와 같은 기술 산업의 동향에 직접적인 영향을 받으니
투자자 분께서는
기술 트렌드나 무역 갈등 및 정치적 상황을 주시하실 필요가 있습니다
기업의 성장 전망 및 수익으로 주가가 상승하다보니
자금 조달 비용과 연관된 금리와도 관련이 있고
무역 정책이나 규제 변화로 인해 해당 기업들이 직접적인 영향을 받을 수도 있습니다
산다면 QQQ 사면 될까요?
QQQ 도 운용 수수료가 있다보니
운용 수수료를 신경 써주시면 좋습니다
거래량 및 유동성은 상대적으로 적지만
QQQ와 동일하게 나스닥 100을 추종하는
QQQM은 운용 수수료 0.15%로
QQQ의 0.20% 보다 저렴하니
장기 투자 및 분할 투자하신다면 QQQM을 추천합니다
레버리지는 어떤가요?
간혹 이 QQQ에 만족하시지 못하고
2배 레버리지인 QLD라던가
3배 레버리지인 TQQQ를 (장기)투자 하시는 분들이 계신거 같습니다
상승한다는 데에 강한 확신이 있으셔서 그러시리라 생각되는데요
저는 개인적으로 레버리지를 선호하지 않습니다
이유는
이익이나 손실의 비율을 개선시켜주는 게 아니라
변동성의 크기만 키워주는 대신에
운용 수수료로 QQQ의 4배 이상을 요구하는 것이기에 (TQQQ 0.84, QLD 0.95)
제 원칙으로 봤을 때는 오히려 손해 보는 장사이기 때문입니다
그렇다고 그냥 "제 취향 아님" 하고 가는 것도 좀 그러니
하나 참고하실만한 정보를 드리자면
레버리지 같이 변동성이 큰 자산을 다룰 때는
얼마만큼의 자금을 투입해야 하는지를 알려주는
캘리 공식을 확인해보시기를 추천합니다
탐욕의 공식이라는 별명도 가지고 있는데요
파산을 면함으로써 가장 빠르게 부의 총량을 늘리는 자금관리 기법으로 알려져 있습니다
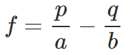
켈리 공식

- f : 최적 투자 비중
- p : 승리 확률
- q : 패배 확률 (q = 1-p)
- a : 패배시 손실률
- b : 승리시 수익률
(공식의 이미지 및 출처와 해당 공식의 계산기는 아래의 주소에서 확인해보실 수 있습니다)
https://fical.net/ko/%EC%BC%88%EB%A6%AC-%EA%B3%B5%EC%8B%9D-%EA%B3%84%EC%82%B0%EA%B8%B0
켈리 공식 계산기 - Fical.net
켈리 공식 계산기는 주식이나 암호화폐의 최적의 투자 비율을 계산하는 도구입니다.
fical.net
다우존스 산업평균지수(Dow Jones Industrial Average, DJIA)
줄여서 다우지수는
30개의 초 우량 대기업의 주식으로 구성된 지수입니다
이 지수는 미국 주식 시장에서 중요한 역할을 하는 지표로
미국 경제의 전반적인 실적을 반영하며
이를 통해 시장 전망을 평가합니다
셰브론, 코카콜라, 3M 등의 기업을 포함합니다
다우의 개 (Dogs of the Dow)
다우의 개는 다우 지수에 포함된 30개 종목 중에서
전년도 배당수익률이 가장 높은 10개 종목을 선정하여 투자하는 전략을 뜻합니다
이는 주가가 상대적으로 덜 상승하여 배당수익률이 높게 나타나는
"저평가"된 우량주에 투자하는 것을 목표로 하며
안정적인 배당 수익과 함께 주가 상승 가능성을 동시에 노리는 전략이며
안정적인 배당 수익을 추구하는 투자자들 사이에서 유명세를 얻었습니다
하지만 근래 다우의 개의 성적이 좋지 않았기에
그렇게 각광받고 있지는 않아보입니다
(2023년 다우의 개는 평균 7.1%의 수익률을 보였으며
이는 S&P 500 지수의 21.8%에 비해 확연히 낮은 수치입니다)
떠오르는 배당주 전략, SCHD
SCHD는 다우존스 미국 배당 100 지수를 추종합니다
이 지수는 최소 10년 이상 연속으로 배당금을 지급한 대형 우량주들로 구성되어 있으며
안정적인 배당금 지급과 높은 배당성장률을 통한 배당금 증가를 목표로 합니다
낮은 운용 비용(0.06%)과 높은 배당 성장률(10% 이상) 덕분에
장기적으로 안정적인 수익을 기대할 수 있으며
이를 통해 SCHD는 안정적인 배당 수익을 추구하는 투자자들에게
매력적인 선택지로 부상하였습니다
SCHD는 다양한 산업에 대한 분산되어있으며
장기적으로 안정적인 성장성을 가진 기업들로 구성되어 있기에
경제적 불확실성 속에서도 방어적인 성격을 띄며
리스크를 관리해주는 종목이라 할 수 있습니다
SCHD의 단점
SCHD는 빅테크 중심의 주가 상승과는 달리
배당금을 통한 현금흐름이 주요 전략입니다
하지만 최근 고금리 환경에서
안전자산인 채권에 대한 매력이 높아져 SCHD의 매력이 상대적으로 떨어졌으며
최근에 배당금을 삭감한 이력도 있기에
이러한 점을 유념하시면서 투자하시는 게 좋습니다
주가? 배당? 난 둘 다
지금까지 크게 두 종목을 다루어 보았습니다
높은 주가 상승률을 기대할 수 있는 QQQ와
높은 배당 성장률을 기대할 수 있는 SCHD
본인의 투자 성향에 따라 선택이 갈릴 수 있는 두 종목인데요
반드시 둘 중 하나를 골라야 하는
양자택일로 받아들일 필요는 없다고 생각합니다
저희는 두 종목을 섞어서 살 수 있으니까요
앞에서 소개드린 포트폴리오 비중을 알려주는 코드를 실행하여 얻어낸
추천 비율은 다음과 같습니다

이런 식으로도 할 수 있고
꼭 저대로 따르는 게 아니라
위험자산인 QQQ에
상대적인 안전자산 SCHD를 더하여
채권 넣듯이 비중을 조절하여 투자해보실 수도 있습니다
현금흐름이 더 중요하다 싶으면 SCHD 비중을 늘리고
아직 나이가 어려서 주가상승률 비중을 더 높이고 싶다 싶으면
QQQ 비중을 늘려가며 포트폴리오 비율을 조정해보시는 걸 추천합니다
('100 - 나이' 공식 기억 나시죠?)
오늘도 긴 글 읽어주셔서 감사합니다
여러분의 투자에 도움이 되었길 바랍니다
'투자' 카테고리의 다른 글
| 이제 하산하셔도 됩니다 (10) | 2024.12.08 |
|---|---|
| 분산투자의 끝판왕. 올웨더 포트폴리오에 대해 알아보자 (2) | 2024.12.07 |
| 인덱스 펀드의 창시자, 존 보글의 투자 철학에 대하여 (+투자 커뮤니티) (6) | 2024.12.05 |
| 패시브 투자 란? (2) | 2024.12.03 |
| 토스 증권으로 포트폴리오 모으기 (1) | 2024.12.02 |